23:36 [익명]

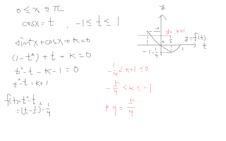
삼각함수 서로다른 두실근 사인을 코사인으로 해서 판별식이랑나머지 어떤조건을 사용해서 구하는건가요?풀이알고싶어요

사인을 코사인으로 해서 판별식이랑나머지 어떤조건을 사용해서 구하는건가요?풀이알고싶어요

.

회원가입 혹은 광고 [X]를 누르면 내용이 보입니다
회원광고