23:14 [익명]

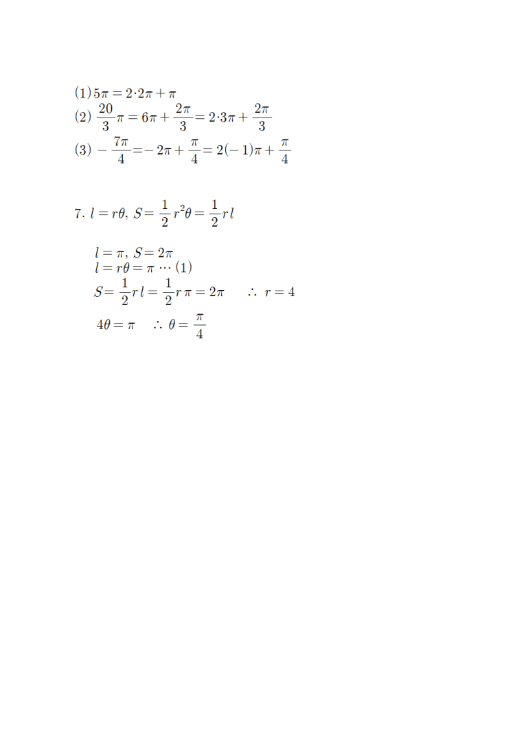
고2 수학 삼각함수 이 문제들의 풀이가 궁금해요

이 문제들의 풀이가 궁금해요

재미있는수학

회원가입 혹은 광고 [X]를 누르면 내용이 보입니다
회원광고