17:48 [익명]

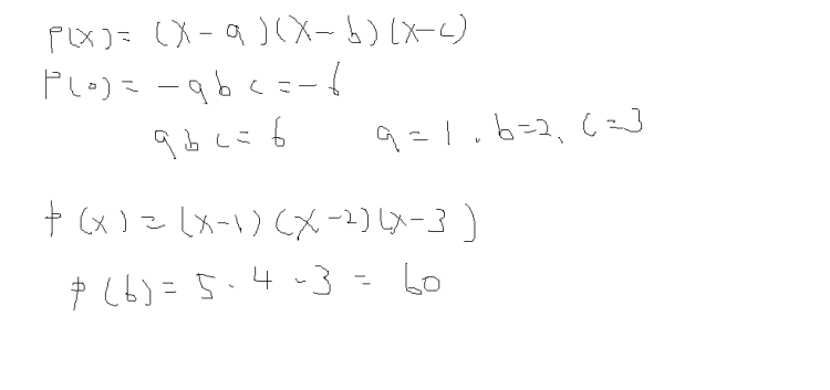
고1 수학 이게 먼소리에요.... 설명해주세요...

이게 먼소리에요.... 설명해주세요...

.

회원가입 혹은 광고 [X]를 누르면 내용이 보입니다
회원광고