10:02 [익명]

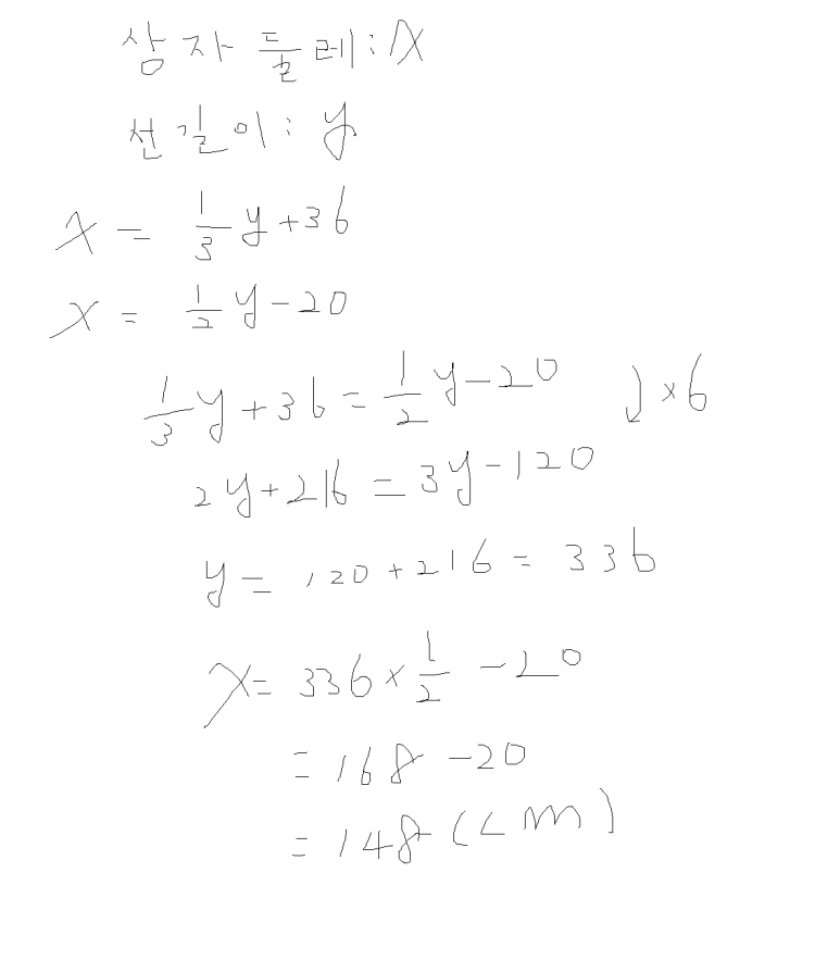
수학문제입니다 풀어주세요~

풀어주세요~

.

회원가입 혹은 광고 [X]를 누르면 내용이 보입니다
회원광고