20:49 [익명]

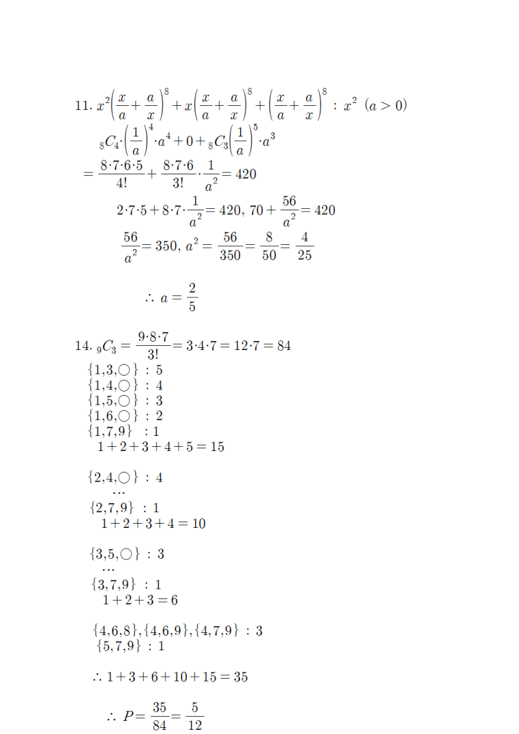
고2 수힉문제 2문제 풀이 좀 설명해주세요..

2문제 풀이 좀 설명해주세요..

재미있는수학

회원가입 혹은 광고 [X]를 누르면 내용이 보입니다
회원광고