20:41 [익명]

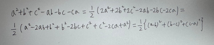
공통수학1 곱셈공식의 변형 고등학교 1학년 수학 밑에 사진에잇는 식이 어떻게 나온건지 모르겟어요ㅜㅜa^+b^+c^ = (a+b+c)^ -2(ab+bc+ca)라는 식에서

밑에 사진에잇는 식이 어떻게 나온건지 모르겟어요ㅜㅜa^+b^+c^ = (a+b+c)^ -2(ab+bc+ca)라는 식에서 변형된거란 말이에요근데 저 식까지는 이해했는데변형된 저 식이 이해가안가요ㅜㅜㅜㅜ갑자기 (a-b)^, (b-c)^, (c-a)^이 어디서 나온거죠ㅜㅜ?자세하게 설명부탁드려여..ㅜㅜㅜㅜ

홧팅

회원가입 혹은 광고 [X]를 누르면 내용이 보입니다
회원광고