21:52 [익명]

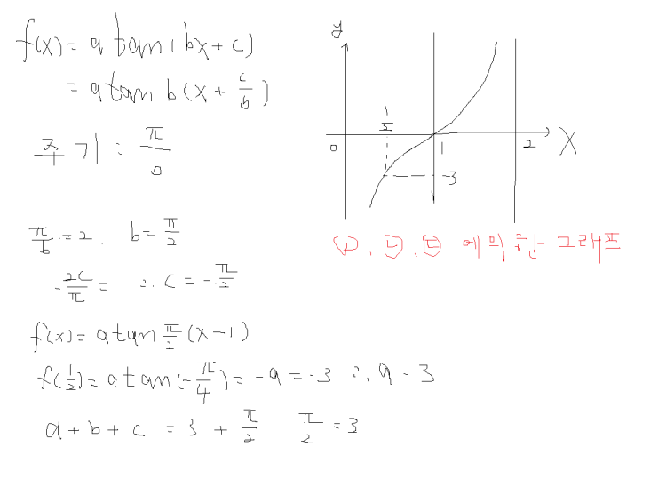
고2 수학풀이부탁드립니다 풀이과정 부탁드립니다

풀이과정 부탁드립니다

.

회원가입 혹은 광고 [X]를 누르면 내용이 보입니다
회원광고